概述
最普遍最简单的正交小波变换,哈尔函数由Haar提出的一种正交完备函数系;是一种既反映整体又反映局部的函数;具有完备性与归一化正交性;它是小波变换中的典型小波;其矩阵只有+1、-1和另一个以为基础的系数,它是正交稀疏矩阵,可实现快速运算。(除了哈尔小波,其他小波似乎都不正交)
定义:哈尔变换本身对称、可分离, F是图像矩阵,H是变换矩阵,T为结果二维矩阵。由于是对的每一行作哈尔小波转换,作完后还要对的每一列作哈尔小波转换(与二维傅里叶变换一样),因此公式为:; 其逆变换为
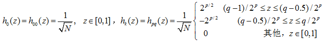
。哈尔基函数:
.
特性:
-
收敛均匀而迅速;
-
傅立叶变换的基函数只是频率不同,哈尔函数在尺度和位置上都不同;
-
哈尔变换具有尺度和位置的双重性;
-
全域特性和区域特性:哈尔函数系列可分成全域部分和区域部分,全域部分作用于整个变换区间,区域部分作用于局部区域;
-
小波特性:变换后子波的尺度远小于原始信号;
-
不需要乘法(只有相加或加减);
-
大部分运算为0,不用计算;
-
输入与输出个数相同.


